Vai al sito del cassero

CENTRO
DOCUMENTAZIONE
FLAVIA MADASCHI
Dal lunedì al venerdì
10:00-13:00/14:00-17:00
Via Don Minzoni 18, Bologna Tel: 0510957214 E-Mail: doc@cassero.it
EN Partecipa

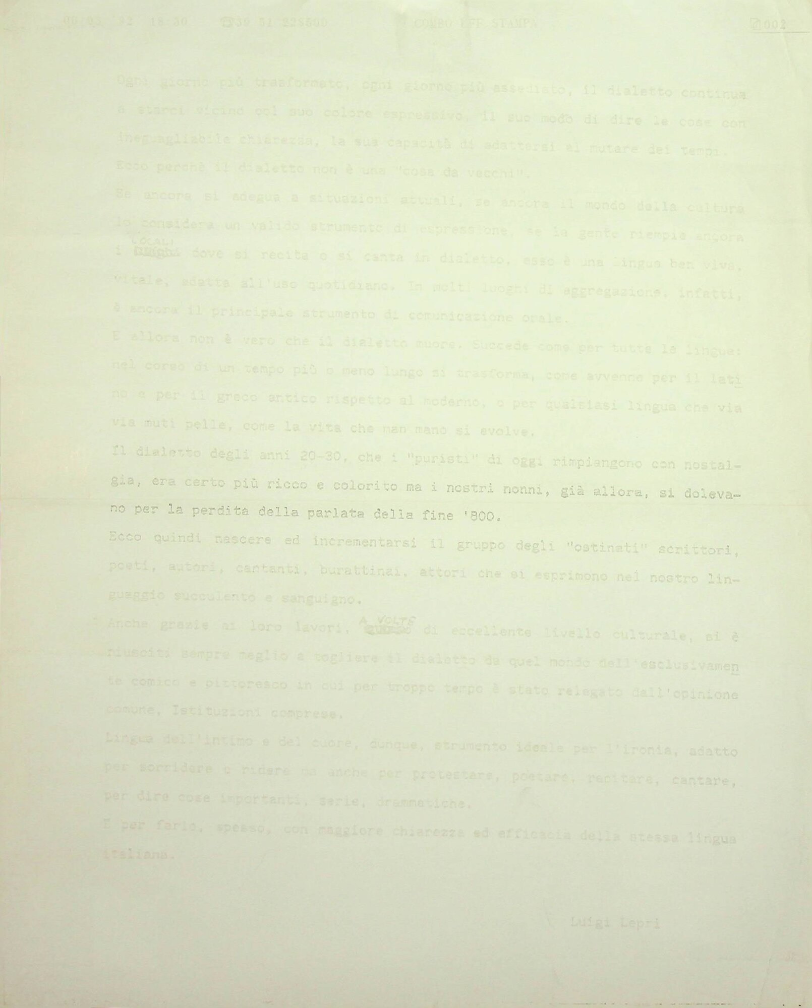
Relazione di Luigi Lepri

Email Facebook Whatsapp LinkedIn
Tipologia titolo
attribuito
Descrizione

Datt., 1 pg.

inviato via fax da "Combo - Uff. Stampa"

testo poco leggibile

Datazione
Data (testuale):
06/03/1992
Identificativo di origine
13_01_026
  • # Centro di documentazione Flavia Madaschi Cassero LGBTQIA+ Center
  • # Archivio
  • # Archivio dell'Associazione Arcigay Nazionale
  • # Arcigay 13
  • # Movimento e Rappresentanze

Richiedi media

Lorem ipsum

Il centro di documentazione si avvale del contributo di:
  • https://www.comune.bologna.it/home https://www.comune.bologna.it/home
  • https://www.regione.emilia-romagna.it/ https://www.regione.emilia-romagna.it/
  • https://www.beniculturali.it/ https://www.beniculturali.it/
  • https://www.unar.it/portale/ https://www.unar.it/portale/
  • https://www.ottopermillevaldese.org/ https://www.ottopermillevaldese.org/

CENTRO
DOCUMENTAZIONE
FLAVIA MADASCHI
  • facebook
  • instagram
  • youtube
Logo cassero lgbt center
MENU
Chi siamoEsploraProgettiInfo e servizi
Comunità
  • Collabora
  • Proponi acquisizioni
  • Sostieni e Dona
Partecipa
NEWSLETTER

Privacy policy
Contatti
Dal lunedì al venerdì
10:00-13:00/14:00-17:00
Via Don Minzoni 18, Bologna Tel: 0510957214 E-Mail: doc@cassero.it
Il Centro di documentazione Flavia Madaschi è uno dei maggiori istituti di conservazione LGBTI+ d’Europa, è convenzionato dal 1987 con l'Istituto Beni Artistici Culturali e Naturali della Regione Emilia-Romagna, dal 2001 aderisce a SBN (Servizio Bibliotecario Nazionale) e ACNP (Archivio Collettivo Nazionale Periodici) e fa parte del Polo Bibliotecario Unificato SBN di Bologna. La biblioteca e l'archivio sono tutelati dalla Soprintendenza Archivistica e Bibliografica dell'Emila Romagna.

  • Preferenze cookie
  • Privacy policy
  • Accessibilità
  • Note Legali